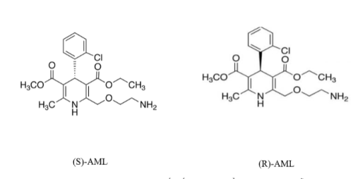
Nghiên cứu phân tích đồng phân quang học amlodipin bằng phương pháp HPLC sử dụng cột sắc ký Lux cellulose
10:32 am 14/06/2023
Người thực hiện: Nguyễn Thảo Hạnh Ngân Chế phẩm amlodipin đã được sản xuất bởi các công ty dược trong và ngoài nước, hiện đang...